Please verify you're human to continue
Asian Journal of Pharmaceutical and Health Sciences (AJPHS)
Home
Browse Issues
In Press
Current Issue
Past issues
About Journal
Aim & Scope
Editorial Board
Editorial Policy
Peer Review Process
Open Access Policy
Search
For Authors
Instruction to Authors
Article Submission and Charges
Downloads
Contact
Register
Login
Home
/
Archives
/
Vol. 13 No. 2 (2023)
Vol. 13 No. 2 (2023)
Published:
2023-06-30
Articles
A study of Antimicrobial Treatment and Clinical Outcome in patients with Acute Meningitis
Reema Varghese, Manasa Jaymon, Mariya George, Binu Jose, Amith Kumar (Author)
2819-2828
PDF
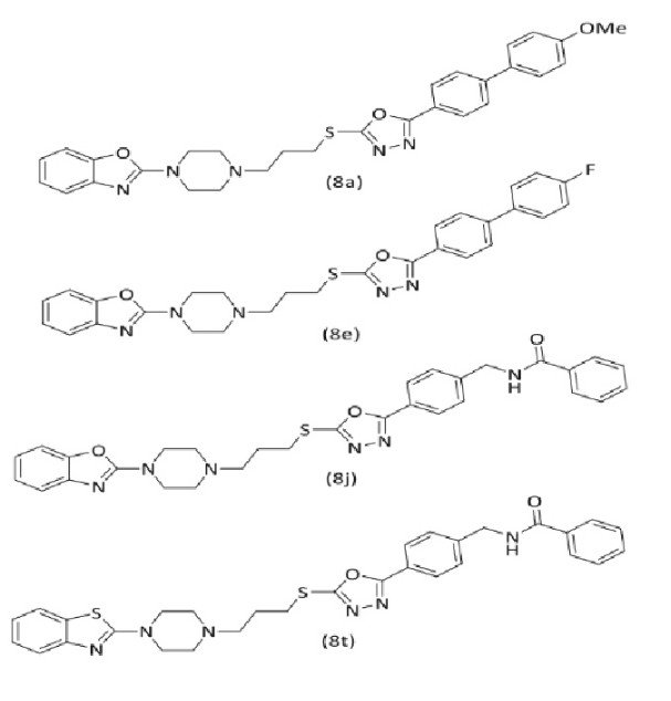
Exploring the potential of Benzoxazole Derivatives as Anti-cancer Agents: A Comprehensive Review
M. Vijayabaskaran, Thamizh Iniyan. P, ayaanand. R, Jeevika. S.V, Kamaleshan. S (Author)
2829-2835
PDF
Topical Gatifloxacin induced Stevens Johnson Syndrome - A Case Report
Ashley Ann Dilip, Siby Joseph, Lakshmi R, John Alexander, Lubna Ali (Author)
2836-2838
PDF
Placental polyp with suspected AVM treated with methotrexate followed by selective embolization and removal - A Case Report
Ann Rose Jose, Lakshmi R , Divya Jose (Author)
2839-2841
PDF
A Case Report on Peau'd Orange induced by Macitentan
Riya Ann Joyson, Biona Benny, Naveen Kumar Panicker, S. Venkateswaran (Author)
2842-2843
PDF
Hailey - Hailey Disease - A Case Report
Reshmi Rajan, Sharon Elsa Moncy , Nancy Ike, Roshiny Thankam James (Author)
2844-2846
PDF
Menu
Visitor
images